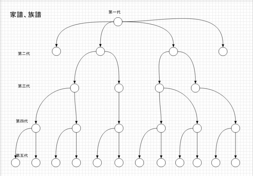
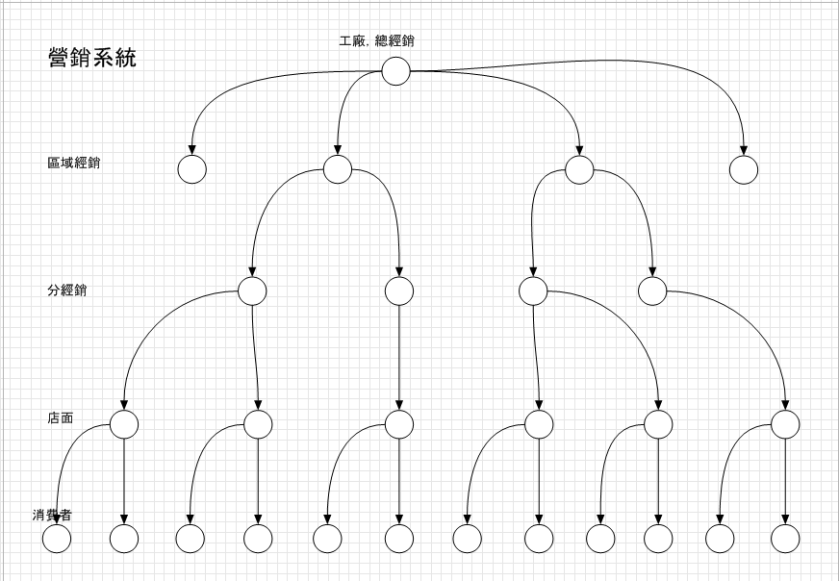
一个简单的图,你先想到什么?相信大部分的人会想到直销,但真的只有直销吗?再想想看!!
其实从人类最初的家庭、国家、公司、营销等各种体系,没有一个存在的体系能摆脱如此的结构。



这是一个完全没有问题的结构体系,那为什么有些人对直销就特别反感。主要是人之贪念,用之于不当之处。如同现代生活文明不可或缺的刀子,在带给人们生活便利的同时,也有可能被用于作奸犯科,那是刀子的错? 还是人的错?
与其一味排斥直销,为什么不能心平气和了解一下 ?直销与传销可是完全两码子事,千万别混为一谈了。一旦了解直销的真正含义后,你会发觉具有优良产品的直销体系是最人性化的生意模式,利人利己的事业。
如果还有疑问,不妨看看为什么3000多名奥林匹克运动选手会如此热爱USANA?社会名流如何看待这件事?
常听到一句话,再谈直销连朋友都没得做了。而我只想说,如果朋友连直销两个字都不能讨论,这种思想封闭的朋友有要的必要吗?